Dr. J's Maths.com
Where the techniques of Maths
are explained in simple terms.

Trigonometry - Further trigonometric identities - trigonometric products.
Test Yourself 1.


 

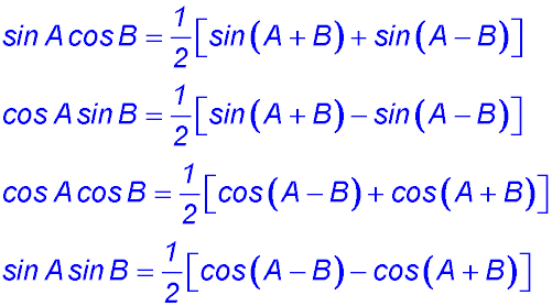
The results required for these further identities are:

 

Express as sums or differences: 1. 2sin 75° cos 15° 2. cos 75° cos 45°.
  3. sin 100° sin 130°. 4. 12 cos 75° sin 45°.
  5. 6.
  7. 2sin 4θ cos 2θ. 8. 4 cos 3θ sin 2θ.
  9. 10. 6sin (θ + ψ)cos (θ - ψ).
  11. 42 cos (α + β) sin (α - β). 12.
Express as products. 13. sin 4x - sin 2x. 14. sin 2x + sin 5x
  15. sin (x + h) - sin x 16. cos (2x + y) + cos (x + 2y).
  17. cos (90° - A) + cos (90° - B). 18.
  19. 20.
  21. 22.
  23. 24.
Prove the following. 25.  
  27.  
  29.  
  31.  
  33. 34.