Trigonometric functions - Integration - basic.
Test Yourself 1 - Solutions.
Integrate the following:
1. ![]() |
2. ![]() |
3. ![]() |
4. ![]() |
5. ![]() |
6. ![]() |
7. ![]() |
8. ![]() |
9. ![]() |
10. ![]() |
11. ![]() |
|
12. ![]() |
||
13. ![]() |
14. ![]() |
15. ![]() |
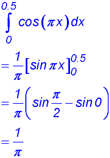
Evaluate the following:
16. ![]() |
17. ![]() |
18. ![]() |
||||||||||
19. ![]() |
20. ![]() |
21. ![]() |
||||||||||
22. ![]() |
23. ![]() |
24. ![]() |
||||||||||
25. ![]() |
26. ![]() |
27. ![]() |
||||||||||
28. ![]() |
29. ![]() |
30. ![]() |
||||||||||
31. ![]() |
32. 3 sub-intervals means 4 function values. So draw up at table:
|
33. |