Dr. J's Maths.com
Where the techniques of Maths
are explained in simple terms.

Trigonometric Functions - differentiation - Tangents, normals and other.
Test Yourself 1 - Solns.


 

Solve the following problems:

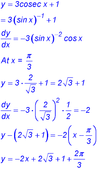
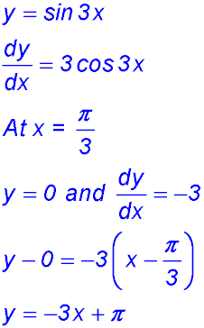
Tangents 1. 2.
  3. 4.
  5.

6.

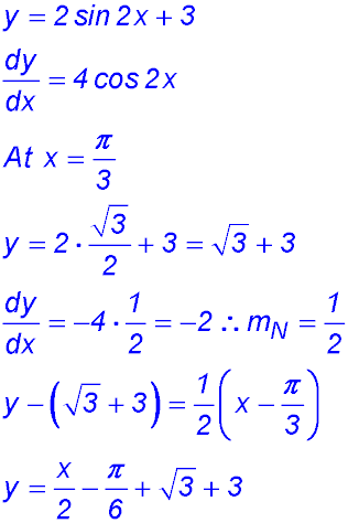
Normals 7.
8.
  9.

10.

  11.

12.