| Random variables. |
1. A variable is defined as the number of kilometres a car travels on one tank of petrol.
(a) Possible values for this variable are 50 km to 500 km.
(b) Theoretically an infinite set of numbers could be recorded for the possible values.
(c) The variable is continuous.
|
| |
2. A random variable is defined as the number of people using a pedestrian crossing at a local shopping centre per hour.
(a) Possible values for this random variable are 0 to 1,000.
(b) There is a finite number of values for the variable.
(c) The variable is discrete as we are counting the number (of whole) people.
|
| |
3. A teacher gives the same statistics test to several classes of students across different schools. The maximum mark for this test is 42.
(a) The possible values for the random variable of the mark obtained are integers from 0 to 42.
(b) There is a finite number of values for the random variable - we can't, from an sound educational perspective, have parts of a mark.
(c) The variable "total score" is actually discrete. Mostly however we treat marks as if they are measured on a continuous scale. The assumption is that the underlying knowledge or ability is continuous.
|
| |
4. Can each of the following characteristics be classified as being random variables?
(a) car colours - yes if we are sitting by the side of a road and making a tally of the colours as the cars pass by.
(b) energy providers - probably not as there are very few in a given region and selection of any one is almost pre-determined.
(c) energy produced by solar panels manufactured by a variety of companies - yes the energy can be regarded as being a random variable because it depends on the condition of the equipment and the weather conditions on a given day.
(d) the numbers formed by throwing two dice and writing down the upmost values in order - yes as the outcomes should be random.
|
| |
5. |
| |
6. The first 3 options ARE examples of discrete (whole number) random variables.
(a) The number of students sitting for Mathematics over a number of years.
(b) The number of pens found in your bag before an exam.
(c) The number of teachers in the Maths staffroom at lunch time.
Length of song is NOT discrete but continuous
(d) The lengths of the songs on your play-list.
|
| |
7. Indicate for each of the following if the distribution described is a discrete probability distribution?
(a) the weight of each member of a class - NOT DISCRETE.
(b) the results of throwing a dice - DISCRETE.
(c) the number of glasses of water a person drinks in a day - DISCRETE.
(d) the age of each passenger in a bus - NOT DISCRETE.
|
| Estimate probabilities. |
8. To determine the value of a, the sum of the probabilities = 1.0:
| x |
-2 |
-1 |
0 |
1 |
2 |
| Pr (X=x) |
0.0 |
0.4 |
a |
0.0 |
0.5 |
Hence 0.9 + a = 1.0, therefore a = 0.1.
|
9.
| x |
10 |
11 |
12 |
13 |
14 |
| Pr (X=x) |
0.1 |
0.2 |
0.3 |
0.0 |
0.5 |
The probabilities add to 1.1 - so the data cannot be a discrete probability distribution.
|
| |
10. To determine the value of a, the sum of the probabilities = 1.0:
| x |
1 |
2 |
3 |
4 |
| Pr (X=x) |
k |
2k |
3k |
k |
Hence 7k = 1.
k = 1/7.
|
11.
The probabilities add to 1 - so
a + b + 0.2 = 1.0
a = 0.8 - b
Also 2.1 = 0.2×1 + a×2 + b×3
Solving simultaneoisly by substituting for a gives a = 0.5, b = 0.3. |
| |
12. The distribution of the number of weeks books overdue for Term 3 is:
| No. of weeks overdue. |
No of students with overdues. |
Probability |
| 1 |
100 |
0.67 |
| 2 |
40 |
0.27 |
| 3 |
10 |
0.06 |
| Total |
150 |
1.00 |
The probability distribution of the number of weeks library books overdue is determined by dividing each total by 150.
Correct one value for the rounding error.
|
13. The number of people not able to meet payments on their credit card:
| No. of months in arrears. |
No of customers not meeting payments. |
Probab. |
| 1 |
150 |
0.47 |
| 2 |
80 |
0.25 |
| 3 |
50 |
0.16 |
| 4 |
30 |
0.09 |
| 5 |
10 |
0.03 |
| Total |
320 |
1.00 |
The probability distribution of the number of months customers are not meeting their payments is determined by dividing each total by 320. |
| |
14. Let the discrete random variable X be the number showing at the top of a six sided die when it is tossed.
(a)
| X |
1 |
2 |
3 |
4 |
5 |
6 |
Tot |
| P(X) |
0.166 |
0.166 |
0.166 |
0.166 |
0.166 |
0.166 |
0.996 (say 1.0) |
(b) The probability distribution presented in graphical form is simply a straight horizontal line at 0.166 of the Probability (vertical) axis.
Such a distribution is referred to as being a UNIFORM DISTRIBUTION.
|
15. Let the discrete random variable X be the number of heads when a fair coin is tossed three times.
P(head) = P(tail) = 0.5.
There are 23 = 8 possible outcomes - from HHH, HHT ...TTH, TTT.
One head can be HTT, THT or TTH - so 3 of the 8 outcomes (3/8 = 0.375).
REMEMBER - look at the set of outcomes when you have finished tossing. Have some fun with this coin tossing website.
(a)
X
(heads) |
0 |
1 |
2 |
3 |
Total |
| P(X) |
0.125 |
0.375 |
0.375 |
0.125 |
1.0 |
.
(b) Present the probability distribution in graphical form.
|
| |
16.
| X |
-4 |
0 |
1 |
2 |
| p(x) |
0.2 |
0.3 |
0.4 |
0.1 |
Find the following probabilities:
(a) Pr (X > 0) = 0.5.
(b) Pr (X < 0) = 0.5.
(c) Pr (0 ≤ X ≤ 1) = 0.7.
(d) Pr (X = -2) = 0.0.
(e) Pr (X < 2) = 0.9.
|
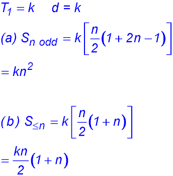
17. A probability distribution is defined for the random variable X as being
P(X) = kx with the values for x being 1, 2, 3, 4, ... 2n. So the probabilities are k, 2k, 3k ... 2nk. To sum, we need arithmetic series.
(i) & (ii)

(ii) . |