Cumulative distribution functions.
Test Yourself 1 - Solutions.
| Determining a cumulative distribution function. | 1. (i) (ii) (iii) |
| 2. |
|
| 3. | |
4. (i) (ii) (iii) |
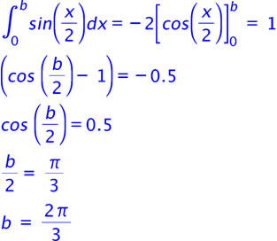
|
5. ![]() |
|
| 6. | |
| 7. | |
| Determining a probability. | 8. ![]() |
| 9. Drop bears | |
10. |
|
11.
|
|
| 12. | |
| Medians and other percentile points. | 13. |
14. (i)
(ii) To find the cumulative function, integrate the demnsity function (which we just did) and use the limits 0 and x.
(iii) For the interquartile range, we calculate Q1 and Q3 - which have 25% and 75% of the area to the left:
|