| The questions below require an evaluation of the continuity of a function: |
| 1. by analysing a graph. |
| 2. by analysing an equation - generally by drawing a graph of the function from the given equation. |
| Using graphs |
1.

Yes the function is continuous.
The line at the left approaches 0 as x increases. The line at the right also approaches 0 as x decreases.
Hence they meet at y = 0 when
x = 0. |
2.

No the function is not continuous.
The two lines do not meet at the same point in the first quadrant. |
| |
3. The curve shown in the diagram below is continuous.

|
4. The curve shown in the diagram below is discontinuous.

The LH sin curve cuts the y axis as y = 0.9 while the RH cos curve cuts the y axis at 1.0. |
| Using equations |
5. The linear function
is continuous for all real x and so there is no point of discontinuity. |
6. The function is discontinuous. Setting the denominator equal to zero
gives the point of discontinuity as x = -1. The function describes a hyperbola. |
| |
7. To determine where the function is discontinuous, set the denominator = 0, factorise and solve for x:

So discontinuities at x = 5 and at x = -3. |
| |
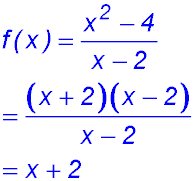
8. To determine where the curve

is discontinuous, we could set the denominator = 0. But that would not be sufficient because we can also factorise the numerator and so simplify the function:

|
The function has now been reduced to a line.
Acknowledgement of the discontinuity at x = 2 needs to be included so the graph of the line would be shown as |
| |
9. The two components of the piecewise function defined by the equations

are themselves continuous.
For the first component, f(2) = -2 and for the second component f(2) = -2. Hence the function is continuous. |
10. The two components of the piecewise function defined by the equations

are themselves continuous.
Using the point between the two components, the first component gives while the second is . |
| |
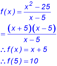
11. If the function described by:

is continuous at x = 5, the values for f(5) must be equal.

∴ k = 10 |
12. The function is discontinuous when the denominator = 0.


Vertical asymptotes could be drawn at the values indicated above for x - at the points of discontinuity.
|
| |
13. The function is discontinuous when the denominator = 0. So discontinuous at x = 1.

|
14. The function is continuous.

|