Dr. J's Maths.com
Where the techniques of Maths
are explained in simple terms.

Logarithmic functions - Integration - Areas.
Test Yourself 1.


 

 

1.
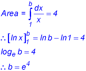
Note again.Area = 1 u2.
This is a major result for the value of e.
2.
3.
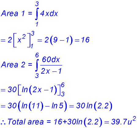
4. The diagram shows part of the graph of y = 4x and .

(i)

.

(ii)

5.

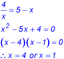
(i) Find the x coordinates of the points A and B.

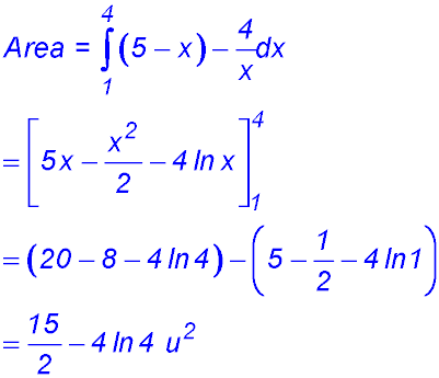
(ii) Find the area of the shaded region between the curves.

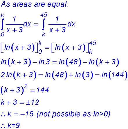
6.

7.

If we proceed in the usual way and draw our slice from the x axis up to the curve, our expression to integrate is loge x dx and we cannot integrate loge.

 

Hence we need to approach the solution in another way. We can see the grey area we need is really the area of the rectangle less the area of the green section. So....

Remember that loga ax = x - see the last part of the log laws summary page.

8.