Dr. J's Maths.com
Where the techniques of Maths
are explained in simple terms.

Logarithmic functions - Differentiation - basic techniques.
Test Yourself 2 - Solutions.


 

Differentiate each of the following with respect to x:

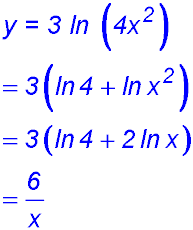
Basic structure 1. y = 3 ln 4

There is no term in x here - so the log expression is a constant. The derivative is therefore 0.

2. y = loge 5xz

The bit after the log has an x term - but the 5z term is a constant - and we are differentiating only with respect to the variable x.

So the derivative is .

  3. 4.
  5. 6.
Chain rule 7. 8.
  9. 10.
  11. 12.
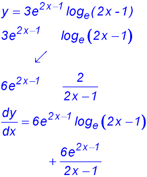
Product rule 13. 14.
  15. 16.
  17. 18.
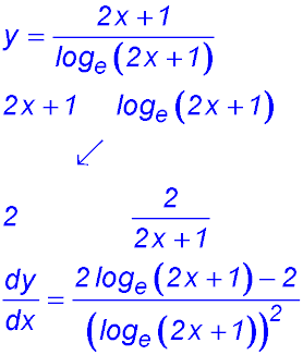
Quotient rule 19. 20.
  21. 22. .
  23. 24.
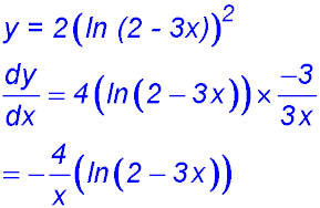
Use log laws 25. 26.
  27. 28.
  29. . 30.