Functions - Logarithmic - Differentiation.
Applications - Test Yourself 1.
The questions on this page focus on:
|
| Gradients | 1. ![]() |
2. ![]() |
|
3. ![]() |
|
| Tangents and normals | 4. . |
5. ![]() |
|
6. ![]() |
|
| 7. (i) (ii) (iii) On the sketch, draw in the tangent and the normal -
|
|
8. . |
|
| 9. | |
| 10. | |
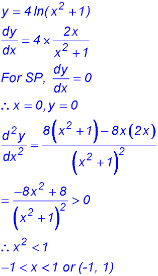
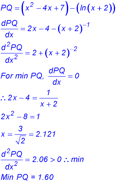
| Maximum and minimum questions | 11. ![]() |
12. (i) Draw the graphs of y = ln(x - 1) and y = x on the same set of axes.
|
|
13.
|
|
14. ![]() |
|
15. |