Dr. J's Maths.com
Where the techniques of Maths
are explained in simple terms.

Exponential functions - Differentiation.
Test Yourself 1 - solutions.


 

 

The solutions on this page are grouped into:
1. Differentiating basic exponential functions.
2. Differentiating exponentials with the chain rule.
3. Differentiating exponentials with the product rule.
4. Differentiating exponentials with the quotient rule.
5. Differentiating exponentials to find tangents.
6. Differentiating exponentials to find normals.
7. Miscellaneous differentiation of exponentials.

 

Basic expressions 1. 2.
  3. 4.
  5. 6.
  7. 8.
Chain rule 9. 10.
  11. 12.
Product rule. Note STRUCTURE: two terms in x MULTIPLIED together - so a product rule!!
  13. 14.
  15. 16.
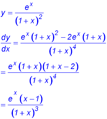
Quotient rule. Note STRUCTURE: two terms in x divided as a fraction - so a quotient rule!!
  17. 18.
  19. 20.
Tangents 21. gradient of at x = 1.

22. the tangent to the curve y = ex - 2x at
point (1, e - 2) passes through the origin.

  23. equation of the tangent to y = e2x + x
at x = 0.

24. Find the equation of the tangent to y = e2x at (0, 1).

  25. For what values of x is the tangent to
y = e3x parallel to the line y = 6x?
26. Find the equation of the tangent to the curve y = 2x ex at the point where x = 1.

Normals 27. Find the equation of the normal to the curve y = e2x-1 at the point where x = 2 leaving your answer in exact form.

28. (i) Find the equation of the normal to at the point where x = 1.

(ii) Find where that normal crosses the x-axis (to 2 significant figures).

Miscellaneous. 29. y = x2 e-x is decreasing.

30. gradient of y = xe-0.5x is greater than 0.