Dr. J's Maths.com
Where the techniques of Maths
are explained in simple terms.

Functions - Exponential - Differentiate ... hence find.
Test Yourself 1 - Solutions.



All questions below depend on the exponential function.

Derivative has
1 term.

1. (i) .

(ii)

 

2. (i) .

(ii) .
 

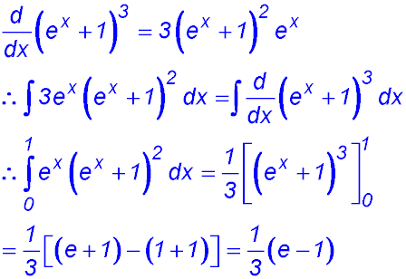
3. (i) .

(ii) .

  4.
  5.
Derivative has
2 terms.

6. (i) Differentiate .

(ii)

 

7. (i)

(ii)

 

8. (i)

(ii) .

  9.
 

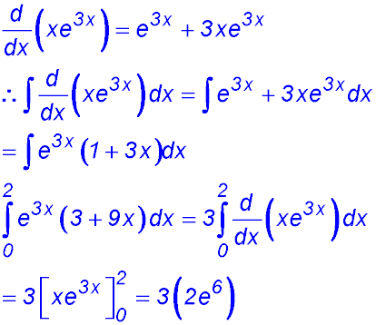
10. (i)

(ii)

Combination of approaches
(harder).

11. (i)

(ii)

  12.
 

13. (i)

(ii)