Sequences & Series - Geometric - the General term.
Test Yourself 1.
| Finding a term | 1.
Tn = 3×2n.
T5 = 3 × 25 = 96. |
2. T1 = 2 and r = 5
T6 = 2 × 55 = 6,250 |
| 3. T1 = -5 and r = -4
T8 = -5 × (-4)7= 81,920 |
4. T1 = 3 and T4 = 192
∴ 192 = 3× r3 r3 = 64 r = 4 First four terms are 3, 12, 48 and 192. |
|
| Finding a 1st term | 5. T3 = 18 and r = 3
18 = T1 × 32 T1 = 2 |
6. ![]() |
| Finding a difference | 7. ![]() |
8. ![]() |
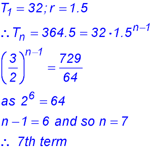
| Finding the number of terms | 9. ![]() |
10. ![]() |
| Given 2 terms | 11. ![]() |
12. ![]() |
13. |
14. ![]() |
|
| Miscellaneous | 15. ![]() |
16. ![]() |
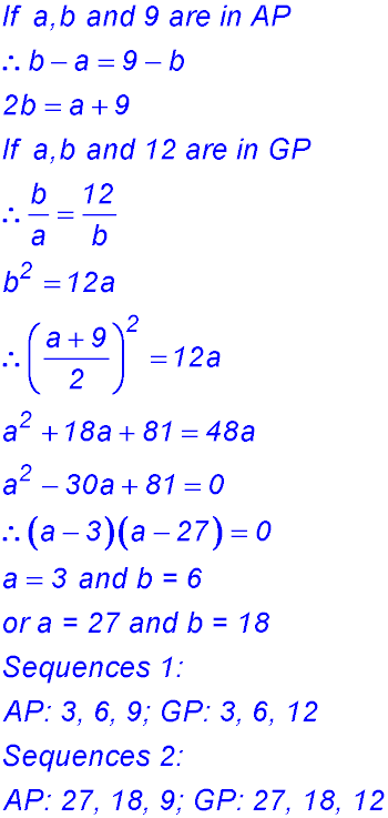
| 17. The three terms are in geometric progression and so they have the same ratio between them. The ratio can be calculated in 2 different ways - by ratioing the 2nd term to the 1st term and then the 3rd term to the 2nd term. As these are the same, equate them.
|
18. Same approach as for the previous question. Calculate the common ratio in two different ways and equate the results.
|
|
19. ![]() |
20. ![]() |