Dr. J's Maths.com
Where the techniques of Maths
are explained in simple terms.

Sequences & Series - Arithmetic - Summation questions.
Test Yourself 1 - Solutions.


 

Direct sum of
n terms (last term known).
1. T1 = 4 and T12 = 40

S12 = 6(4 + 40) = 264.

 

2. loge2 + loge4 + loge8 + ... + loge 512

= loge2 + 2loge2 + 3loge2 + ... + 9loge2

So T1 = loge 2, d = loge 2 and n = 9.

Sum = (9/2)[loge 2 + 9loge 2]

= 45 loge 2

 

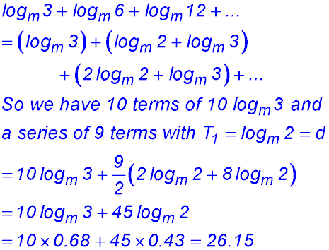
  3.

The series is ln(x) + ln(x2) + ln(x3) + ..
Using log laws, this can be rewritten as

ln(x) + 2ln(x) + 3ln(x) + ..

Sum of 12 terms is

4.
Direct sum of
n terms (last term unknown).
5. The sum of the first 51 positive odd integers in the series is 1 + 3 + 5 + ...

6. Ellen deposits $20, $22, $24, ...

So T1 = 20 and d = 2

Savings = (18/2)(2×20 + 17×2) = $666.

(Happy holiday Ellen!!).

  7. T1 = 15 and d = 5 and n = 16

∴ 5 series @ 8×25 min episodes =
1000 mins.

For the student,
Sum of watching = 8(2+15+(16-1)5

= 840 minutes.

4 series takes 4×8×25 = 800 minutes

So not finished but 40 minutes into Series 5 - 15 minutes into episode 2.

(ii) To finish:

1000 = 8(2×15 + 15d)

d = 6.33 = 6 minutes 20 seconds is the
required increase in time per day - not just 5 minutes.

 

8. The first walk is 3 metres and then back, the second is 4 m and then back the third is 5 m etc.

Hence just considering one direction, we have an arithmetic series with T1 = 3 and d = 1 and n = 24.

∴ S24 = (24/2)(3 + 24×1).

= 324 m.

We then double that distance to get the Supervisor back out the front.

So total distance is 628 m. 

  9. For the series starting 6 + 10 + 14 + ...

10.
Sum of multiples 11.(i)

(ii)

12.
Using the sum to find terms or difference. 13. 14.
  15. 16. (i)

(ii)

  17. 18. Similar question to Q 17 but an alternative (and better solution). Always good to have more than one approach to solving a problem.

Using the sum to find the number of terms. 19. Sn = 2n2 gives the first three sums as:

2, 8 and 18.

But S1 = T1 = 2.

S2 = 8 = T1 + T2 = 2 + T2 so T2 = 6.

S3 = 18 = S2 + T3 = 8 + T3 so T3 = 10.

The sequence 2, 6, 10 has difference = 4.

∴ T10 = 2 + (10 - 1)4 = 38.

20.