| From the x-axis. |
1.  |
|
| |
2. |
|
| |
3.  |
 |
| |
4. |
|
| |
5.  |
6.  |
| From the y-axis. |
7. (i) 
(ii) We first write the integral statement for the area:

|
We now take the negative part of this y equation as we want the part of the parabola below x = 2:

|
| |
8. |
|
| |
9. |
|
| Between 2 curves. |
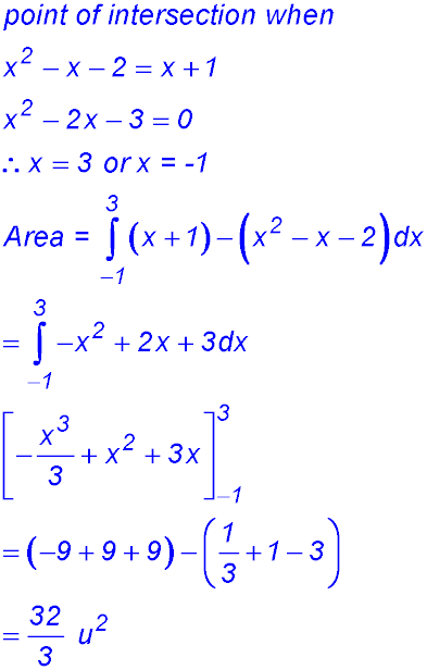
10. 
Need the x-values for the point of intersection:
|
 |
| |
11. (i) Verify one of the points of intersection has coordinates (2, 1).
Equating the y expressions:
x2 - 2x + 1 = 3 - x
x2 - x - 2 = 0
(x - 2)(x + 1) = 0
x = 2 or x = -1
x = 2 y = 1 So POI is (2, 1).
|
(ii) Hence find the area enclosed.

|
| |
12. (i) 
|
(ii)  |
| |
13.  |
|
| |
14. 
|
 |
| Between 2 curves - one point of intersection. |
15. |
|
| |
16. |
|
| Integrals! |
17. (i)  |
(ii)
(iii) Curve is not differentiable at x = 2 and at x = 4.
Note at x = 6, the gradient of CD flows into the gradient of the quadrant. |
| |
18. |
|
| Interpreting diagrams. |
19.  |
20. |