Dr. J's Maths.com
Where the techniques of Maths
are explained in simple terms.

Calculus - Differentiation - the Quotient Rule.
Test Yourself 1 - Solutions.


 

The solutions for the Quotient Rule Test Yourself 1 are provided below.

Note that the first two "ASK:" questions are not repeated beyond Q 4. You should however ask yourself these two questions EVERY time you see a fraction and you need to differentiate.

  1. Q1 2. Q2
  3. Q3 4.

5. Q5 6. Q6
 

7. Q5

8.

Q8

 

9. Q9

10.
11.

 

12.

13. 14.
15. 16.

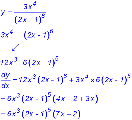
There is no point in doing the quotient rule twice here.

Better to bring the two terms together: