Dr. J's Maths.
Where the techniques of Maths
are explained in simple terms.

Calculus - Differentiation - Implicit Differentiation.
Test Yourself 1.


 

Direct differentiation. Use implicit differentiation to find

  Derive the equation of the following hyperbola

  Find the derivative of y2 = x2y + 1

Stationary points. Find the coordinates of any stationary points for the curve

y3 + 2xy + x2 + 2 = 0.

  Find the coordinates of the points where the tangent to the curve x2 + 2xy + 3y2 = 8 is horizontal.

Gradients. Find the equation of the tangent to the curve defined by

x2 - xy + y3 = 5

at the point (2, -1).

  Find the coordinates of the point where the tangent to the curve x2 - y2 + xy + 5 = 0 is parallel to the line y = x.

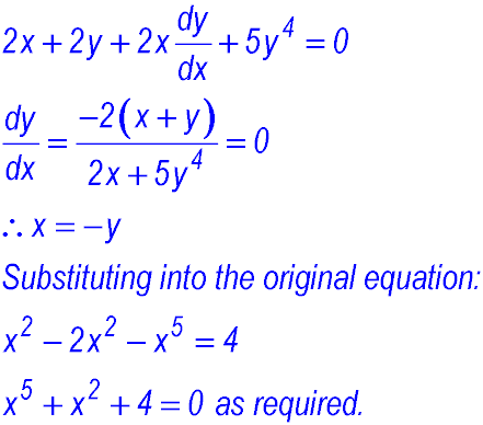
  A plane curve is defined implicitly by the equation

x2 + 2xy + y5 = 4.

This curve has a horizontal tangent at P (x, y).

Show that x is a root of the equation x5 + x2 + 4 = 0.