Dr. J's Maths.com
Where the techniques of Maths
are explained in simple terms.

Calculus - Differentiation - First Principles.
Test Yourself 1 - Solutions.


 

Solutions to each of the 4 questions are provided below.

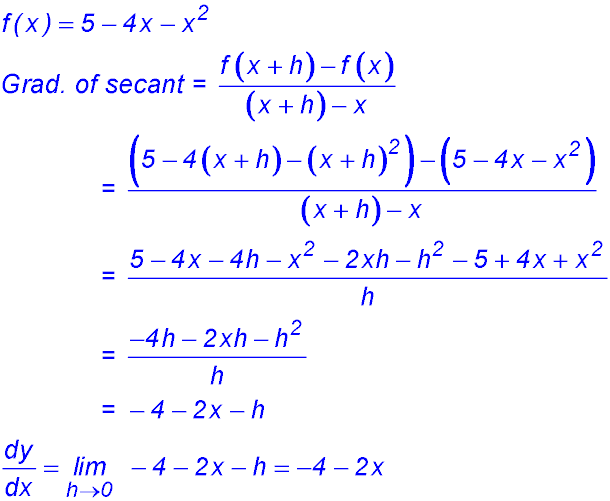
For your sake, it is a good strategy to write the first line "Grad of secant" because it gives for a format into which to substitute.

The last line is always important as it summarises that the limit must be applied.

To obtain additional comments, hover over the words "Additional comment".

1.

 

Additional comment.This example is just like that in the video.
Set it out as shown.
In the last step, just replace the
h term with zero.
Also ensure you write dy/dx and the Lim bit.
2.

Additional comment.Again - in the last step, just replace the h term with zero.
Also ensure you write dy/dx and the Lim bit.

3.

Additional comment.The fraction makes it a bit harder. Just use the basic strategies with fractions like common denominators.

4. Additional comment.The key to approaching the surds is to rationalise the NUMERATOR - not the denominator as we usually do.
Again in the last step, just replace the h term with zero.
Also ensure you write dy/dx and the Lim bit.

 

Additional questions:

1 (i)

1 (ii)