Dr. J's Maths.com
Where the techniques of Maths
are explained in simple terms.

Calculus - Differentiation - the Chain Rule.
Test Yourself 1 - Solutions.


 

Solutions to each of the 24 questions are provided below.

Additional comment.We have a, b, m and x. We need to differentiate with respect to x.
So a, b and m are constants - treat them like numbers.
Basic functions: 1. This solution is written out step by step to echo the steps outlined in the video.

2.
 

3.

4.
Index terms inside
the brackets:
5. 6.
  7. 8.
 

9.

Additional comment.Begin with changing the surd into index form.
Then you see what number to bring down and also the number you will subtract 1 from.
Don't shortcut this stage and try to do things in your imagination.

10.

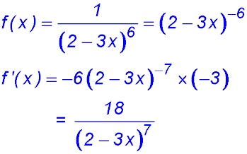
Terms in denominator: 11. 12.
  13. 14.
  15. 16.
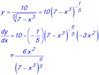
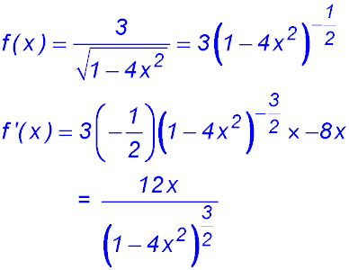
Terms enclosed in radicals: 17. 18.
  19. 20.
  21. 22.
  23. 24.

You need to aim at getting all the first 10 questions correct. They ensure you have the basic technique in place. If you did not attain 10/10, re-read the solutions and comments and then redo those questions.

The remaining 14 questions include variations around the basic technique especially related to the algebra. A good mark would be 11 out of 14 correct - but again re-read and re-do. With practice of these, you will get 14/14 - if not better!!

If you can do these 24 questions correctly, you will ace the exam questions:)