Dr. J's Maths.
Where the techniques of Maths
are explained in simple terms.

Calculus - Differentiation - First derivative.
Gradients and equations of curves, tangents, etc - Test Yourself 2 - Solutions
.


 

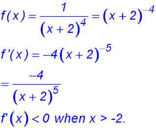
Remember that the first derivative is the gradient function of a function. So it is used to answer questions requiring information about the slope of a curve.

Gradients 1.
 

2.

 

3.

 

4.

  5.
  6.
  7.
  8.
  9. (i)

(ii) When x > 0, √x > 0 (and it is defined in that domain). So the derivative > 0.
Hence all tangents have a positive slope.

  10.
Points of contact

11. (i) find the coordinates of the point Q where the tangent at P cuts the y axis;

(ii) find the coordinates of the point R where the normal at P cuts the x axis.

  12.
  13.
  14.
Equations of tangents & normals. 15. (i) Find the equation of the tangent at A.

(ii) Find the equation of the normal at A.

(iii) Find the coordinates of B and C

As B is on the x-axis, B has coordinates (4, 0).

As C is on the y axis, C has coordinates (0, -7.5).

(iv) Using Pythagoras' Theorem:

  16.
 

17. Find the equations of the normals to the curve
xy = 4 which are parallel to the line

4x - y = 2.

  18.
  19.
  20.
Product rule 21.
  22.
  23. (i)

(ii)

  24.
Increasing/ decreasing functions. 25.
  26.
  27.
  28.