Dr. J's Maths.com
Where the techniques of Maths
are explained in simple terms.

Algebra - Irrational numbers - Advanced questions.
Test Yourself 1 - Solutions.


 

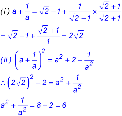
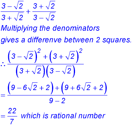
1. 2.
3. 4.
5. 6.
7. 8.
9. 10.
11. 12.
13.

14.

15.

16.