Algebra - Factorisation - Cross method (monics).
Test Yourself 1 - solutions.
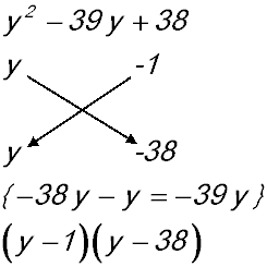
Solutions for each of the factorisations in the Cross Method Test Yourself 1 are summarised in the following table.
Some selected comments can be obtained by hovering over HINT where included.
| Type of question | No. | No. | ||
| Both signs positive. | 1. |
|
2. |
|
| 3. |
|
4. | ![]() |
|
| Signs are negative then positive respectively. | 5. |
|
6. | ![]() |
| 7. |
|
8. | ![]() |
|
| Signs are positive then negative respectively. | 9. | ![]() |
10. | ![]() |
| 11. |
|
12. |
|
|
| Signs are both negative. | 13. |
|
14. |
|
| 15. |
|
16. |
|
|
| Randoms. | 17. |
|
18. | ![]() |
| 19. |
|
20. | ![]() |